Home
About Us
AFFILIATION CERTIFICATE
FIRST SAFETY DOCUMENT
LAND CERTIFICATE
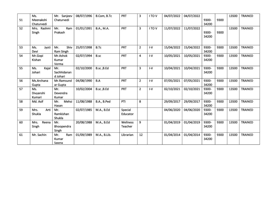
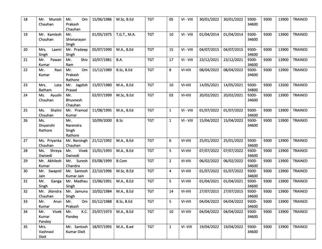
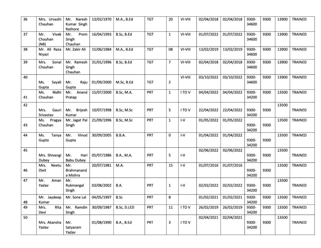
STAFF STATEMENT PG 1
PTA Members
SOCIETY
SMC
INFRASTRUCTURE AIS
NBC CERTIFICATES
WATER SAFETY CERTIFICATES
CLASS WISE STUDENTS
Courses
Life At Aman School
Contact us
TRANSFER CERTIFICATE
Call Us
+91 95202 83114
Welcome to
Aman International School
where learning thrives and dreams take flight!
Address
Bhawat, Road, near Shree Dheerendra Cold Storage, Kharpari, Mainpuri, Uttar Pradesh 205001
+91 95202 83114
support@amaninternationalschool.in
Home
About Us
AFFILIATION CERTIFICATE
FIRST SAFETY DOCUMENT
LAND CERTIFICATE
STAFF STATEMENT PG 1
PTA Members
SOCIETY
SMC
INFRASTRUCTURE AIS
NBC CERTIFICATES
WATER SAFETY CERTIFICATES
CLASS WISE STUDENTS
Courses
Life At Aman School
Contact us
TRANSFER CERTIFICATE
support@amaninternationalschool.in
+91 95202 83114
Bhawat Road, Kharpari, Mainpuri, Uttar Pradesh 205001
CATEGORIES
Civil Engineering
Computer Science
Genarel Education
Web Development
Home
About Us
AFFILIATION CERTIFICATE
FIRST SAFETY DOCUMENT
LAND CERTIFICATE
STAFF STATEMENT PG 1
PTA Members
SOCIETY
SMC
INFRASTRUCTURE AIS
NBC CERTIFICATES
WATER SAFETY CERTIFICATES
CLASS WISE STUDENTS
Courses
Life At Aman School
Contact us
TRANSFER CERTIFICATE
Apply Now
STAFF STATEMENT PG 1